Magnetic Effect of Electric Current Class 12 - IIT JEE | NEET
JEE Mains & AdvancedIn This Chapter you will get to know the relationship between Matter and Magnetism. Here you will get to learn about Magnet and its properties. Get to Learn about different types of Magnets. get to knoe about the relationship between Magnetism and Gauss's Law. Also read about Earth's Magnetism in this Chapter. eSaral Provides free detailed notes on Magnetic Effect of Electric Current Class 12 that will help you in exams like IIT JEE, NEET and Board Preparation.
India's Best Exam Preparation for Class 12th - Download Now

India's Best Exam Preparation for Class 12th - Download Now

India's Best Exam Preparation for Class 12th - Download Now

India's Best Exam Preparation for Class 12th - Download Now

India's Best Exam Preparation for Class 12th - Download Now

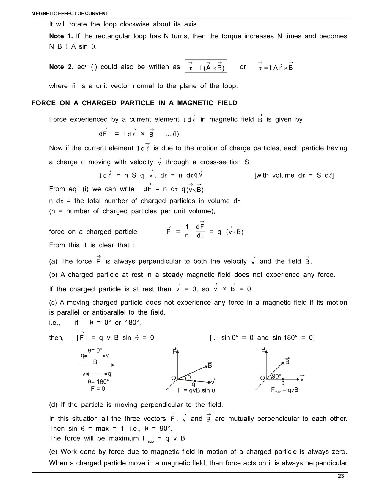
India's Best Exam Preparation for Class 12th - Download Now

India's Best Exam Preparation for Class 12th - Download Now

eSaral have already come up with an amazing revision series of Physics where you can easily revise your chapter within minutes with all the important formulae and key points. This revision series is free for all. Click Here for Complete Physics Revision Series by Saransh Gupta Sir (AIR-41) About Saransh Gupta Sir Computer Science Graduate from IIT Bombay. Cracked IIT-JEE with AIR-41 and AIEEE (JM) with AIR-71 in 2006. He is an author of JEE Mentorship Book “StrateJEE”. He taught Physics for 5 years at Allen and was loved immensely by all the students. Many of his students bagged success with flying colours in JEE & NEET Exams. eSaral brings you detailed Class 11th Physics study material. eSaral provides a series of detailed chapter wise notes for all the Subjects of class 11th and 12th. These notes will also help you in your IIT JEE & NEET preparations. We hope these Physics Notes for Class 12 will help you understand the important topics and remember the key points for the exam point of view. Get Complete Physics Notes for Physics Class 12 for easy learning and understanding. For free video lectures and complete study material, Download eSaral APP. About eSaral At eSaral we are offering a complete platform for IIT-JEE & NEET preparation. The main mission behind eSaral is to provide education to each and every student in India by eliminating the Geographic and Economic factors, as a nation’s progress and development depends on the availability of quality education to each and every one. With the blend of education & technology, eSaral team made the learning personalized & adaptive for everyone.