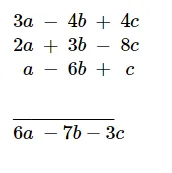
Add: 3a − 4b + 4c, 2a + 3b − 8c, a − 6b + c
Question:
Add:
3a − 4b + 4c, 2a + 3b − 8c, a − 6b + c
Solution:
Writing the terms of the given expressions (in the same order) in the form of rows with like terms below each other and adding column-wise, we get:
